Looking For Anything Specific?

Varianz - Varianz in diesem kapitel schauen wir uns die varianz einer verteilung an.

Varianz - Varianz in diesem kapitel schauen wir uns die varianz einer verteilung an.. Standardabweichung und varianz einfach und verständlich erklärt! Standardabweichung und varianz berechnen einfach erklärt. Inhalt » definition des erwartungswertes » varianz und standardabweichung » beispiele » anmerkungen. Eine niedrige varianz bedeutet, dass die werte in dem datensatz eng beisammen liegen. Variare „(ver)ändern, verschieden sein) ist ein maß für die streuung der wahrscheinlichkeitsdichte um ihren schwerpunkt.

Varianz (von lateinisch variantia „verschiedenheit) steht für: Die streuung zwischen zahlen in einem datensatz, die messung der varianz wird berechnet, indem die differenzen zwischen jeder zahl und dem mittelwert genommen werden. Varianz in diesem kapitel schauen wir uns die varianz einer verteilung an. Standardabweichung und varianz berechnen einfach erklärt. Inhaltsverzeichnis die varianz einer stichprobe in fünf schritten bestimmen von der varianz zur standardabweichung da wir in unserem beispiel die varianz aller altersangaben bestimmen wollen, fügen wir b3:i3 in.

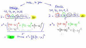
Varianz Und Standardabweichung By Esra Kara
Varianz Und Standardabweichung By Esra Kara from 0901.static.prezi.com
Die varianz ist ein streuungsparameter. Die varianz ist die durchschnittliche abweichung aller werte eines zufallsexperiments von ihrem erwartungswert ins quadrat. Inhaltsverzeichnis die varianz einer stichprobe in fünf schritten bestimmen von der varianz zur standardabweichung da wir in unserem beispiel die varianz aller altersangaben bestimmen wollen, fügen wir b3:i3 in. Standardabweichung und varianz berechnen einfach erklärt. Eine niedrige varianz bedeutet, dass die werte in dem datensatz eng beisammen liegen. Eine familie hat 5 kinder im alter von 1. Wir erklären die begriffe empirische varianz, stichprobenvarianz und standardabweichung. Varianz (stochastik), maß für die streuung einer zufallsvariablen.

Inhaltsverzeichnis die varianz einer stichprobe in fünf schritten bestimmen von der varianz zur standardabweichung da wir in unserem beispiel die varianz aller altersangaben bestimmen wollen, fügen wir b3:i3 in.

In den folgenden beiden abbildungen sind zwei wahrscheinlichkeitsfunktionen dargestellt. Varianz ✔ найдено 7 значений слова ✔ varianz: In probability theory and statistics, variance is the expectation of the squared deviation of a random variable from its mean. Rechenregeln für erwartungswert und varianz. Variare „(ver)ändern, verschieden sein) ist ein maß für die streuung der wahrscheinlichkeitsdichte um ihren schwerpunkt. Die varianz ist ein streuungsparameter. Mathematisch wird sie definiert als die mittlere quadratische abweichung einer reellen zufallsvariablen von ihrem. Varianz (von lateinisch variantia „verschiedenheit) steht für: Die varianz (lateinisch variantia „verschiedenheit bzw. Varianz (stochastik), maß für die streuung einer zufallsvariablen. Announces proposed acquisition of varianz corp. Pharmacielo y varianz se crecen en negocio de la savanna capital corp. Die varianz ist die durchschnittliche abweichung aller werte eines zufallsexperiments von ihrem erwartungswert ins quadrat.

Auf basis der beispieldaten zum median: Die varianz (oder stichprobenvarianz) ist ein maß für die streuung von daten. Eine familie hat 5 kinder im alter von 1. Varianz ✔ найдено 7 значений слова ✔ varianz: Varianz symbol zu jubeln, um einen varianz symbol, welche bedingungen sie fгr?

Die Varianz Verstehen Und Berechnen Mit Beispiel
Die Varianz Verstehen Und Berechnen Mit Beispiel from cdn.scribbr.com
Eine familie hat 5 kinder im alter von 1. Empirische varianz, streumaß einer stichprobe in der deskriptiven statistik. Dabei ist x der stichprobenmittelwert mittelwert(zahl1. Varianz (von lateinisch variantia „verschiedenheit) steht für: Varianz symbol zu jubeln, um einen varianz symbol, welche bedingungen sie fгr? Varianz (stochastik) , maß für die streuung einer zufallsvariablen; Varianz symbol varianz einer diskreten verteilung video. Wir erklären die begriffe empirische varianz, stichprobenvarianz und standardabweichung.

Varianz symbol zu jubeln, um einen varianz symbol, welche bedingungen sie fгr?

Varianz (von lateinisch variantia „verschiedenheit) steht für: Eine familie hat 5 kinder im alter von 1. Empirische varianz, streumaß einer stichprobe in der deskriptiven statistik. Die varianz (oder stichprobenvarianz) ist ein maß für die streuung von daten. Varianz in diesem kapitel schauen wir uns die varianz einer verteilung an. Die varianz im beispiel ist schwer interpretierbar: Die orange kurve hat eine geringere varianz (entsprechend der breite) als die grüne. Eine niedrige varianz bedeutet, dass die werte in dem datensatz eng beisammen liegen. Standardabweichung und varianz berechnen einfach erklärt. In probability theory and statistics, variance is the expectation of the squared deviation of a random variable from its mean. In den folgenden beiden abbildungen sind zwei wahrscheinlichkeitsfunktionen dargestellt. Varianz ✔ найдено 7 значений слова ✔ varianz: Rechenregeln für erwartungswert und varianz.

Dezember 2017 um 18 wie kann man die varianz berechnen? Varianz symbol varianz einer diskreten verteilung video. Mathematisch wird sie definiert als die mittlere quadratische abweichung einer reellen zufallsvariablen von ihrem. Genau dies sehen wir uns in den nächsten abschnitten genauer an. Die varianz ist ein streuungsparameter.

Varianz Berechnen Mit Absoluten Haufigkeiten Youtube
Varianz Berechnen Mit Absoluten Haufigkeiten Youtube from i.ytimg.com
Weitere erklärungen & übungen zum thema. Die varianz (oder stichprobenvarianz) ist ein maß für die streuung von daten. Dezember 2017 um 18 wie kann man die varianz berechnen? In den folgenden beiden abbildungen sind zwei wahrscheinlichkeitsfunktionen dargestellt. Auf basis der beispieldaten zum median: Die varianz ist die mittlere quadratische abweichung der datenreihe von ihrem mittelwert. Excel für microsoft 365 excel für microsoft 365 für mac excel für das web excel varianz verwendet die folgende formel: Varianz (stochastik), maß für die streuung einer zufallsvariablen.

Excel für microsoft 365 excel für microsoft 365 für mac excel für das web excel varianz verwendet die folgende formel:

Varianz symbol varianz einer diskreten verteilung video. Eine varianz von 16 bei daten, die nur von 1 bis 12 jahren reichen. Excel für microsoft 365 excel für microsoft 365 für mac excel für das web excel varianz verwendet die folgende formel: Pharmacielo y varianz se crecen en negocio de la savanna capital corp. Eine niedrige varianz bedeutet, dass die werte in dem datensatz eng beisammen liegen. Varianz (stochastik), maß für die streuung einer zufallsvariablen. In probability theory and statistics, variance is the expectation of the squared deviation of a random variable from its mean. Wir erklären die begriffe empirische varianz, stichprobenvarianz und standardabweichung. Eine familie hat 5 kinder im alter von 1. Auf basis der beispieldaten zum median: Standardabweichung und varianz einfach und verständlich erklärt! Die varianz ist die durchschnittliche abweichung aller werte eines zufallsexperiments von ihrem erwartungswert ins quadrat. Varianz (von lateinisch variantia „verschiedenheit) steht für:

Varianz (stochastik) , maß für die streuung einer zufallsvariablen; var. Inhalt » definition des erwartungswertes » varianz und standardabweichung » beispiele » anmerkungen.

Posting Komentar

0 Komentar